[자료구조] 트리
2021. 3. 15. 12:10ㆍFront-end/자료구조
728x90
반응형
지금까지는 주로 순차적 자료구조를 살펴봤었음(비순차적 자료 구조는 해시 테이블이 유일함)
트리는 비순차적 자료구조
트리
- 계층적인 구조를 표현할 때 사용할 수 있는 자료구조
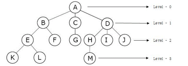
트리 용어

- 루트 노드(root node) : 부모가 없는 최상위 노드
- A
- 단말 노드(leaf node) : 자식이 없는 노드
- K, L, F, G, M, I, J
- 크기(size) : 트리에 포함된 모든 노드의 개수
- 13
- 깊이(depth) : 루트 노드부터의 거리
- A노드의 깊이: 0
- B,C,D 노드의 깊이 : 1
- E,F,G,H,I,J노드의 깊이 : 2
- K,L,M 노드의 깊이 : 3
- 높이(height) : 깊이 중 최댓값
- 3
- 차수(degree) : 각 노드의 (자식 방향) 간선 개수
- 12
- 기본적으로 트리의 크기가 N일 때 전체 간선의 개수는 N-1개
트리의 순회
- 트리 자료구조에 포함된 노드를 특정한 방법으로 한 번씩 방문하는 방법
- 트리의 정보를 시각적으로 확인할 수 있다
- 대표적인 트리 순회 방법 (루트를 기준으로 해서)
- 전위 순회(pre-order) : 루트를 먼저 방문 (루트 - 왼쪽 - 오른쪽)
- 중위 순회(in-order) : 왼쪽 자식을 방문한 뒤에 루트를 방문 (왼쪽 - 루트 - 오른쪽)
- 후위 순회(post-order) : 오른쪽 자식을 방문한 뒤에 루트를 방문 (왼쪽 - 오른쪽 - 루트)
728x90
반응형
'Front-end > 자료구조' 카테고리의 다른 글
| [자료구조] 이진탐색트리 구현 - 기본 뼈대, insert 메소드 (0) | 2021.03.15 |
|---|---|
| [자료구조] 트리 - 이진 탐색 트리(Binary Search Tree) (0) | 2021.03.15 |
| [자료구조] 해시 - (2) 구현 - 충돌해결 - ② linear probing (0) | 2021.03.11 |
| [자료구조] 해시 - (2) 구현 - 충돌해결 -① Chaining (0) | 2021.03.10 |
| [자료구조] 해시 - (2) 구현 - 일반 해시 테이블 (0) | 2021.03.10 |